T-distribution
Calculator - Online
Below you can
find a T-distribution Calculator. The shape of the
Student's t-distribution is determined by the degrees of freedom. Its
shape changes as the degrees of freedom increases.

|
| Student's
t-distribution curve |
The
shaded area represents the right-tail value for t.
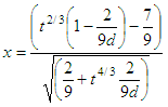
The
right-tail value is approximated by using the following formula:

where
a1
= 0.196854
a2
= 0.115194
a3
= 0.000344
a4
= 0.019527
d =
degrees of freedom
Example:
Determine the right-tail value when t = 2.9 and degrees of
freedom dof = 16.
Enter T-value
= 2.9
Enter Degrees
of freedom = 16
and you get from the calculator
Right-tail
value = 0.0051
Left-tail
value = 0.9949
This is an image showing another example of how you can use the calculator:
Please,
enable JavaScript codes on this page, otherwise the calculator will not
work.
|
|
From
'T Distribution Calculator' to home
From 'T Distribution Calculator'
to Free Online Calculators


|